所跟帖: 范似棟 : 王有才關於三王會的分析大致是不錯的,但是 2014-09-14 16:34:08
作者: 封从德
棋子一例:2014-09-14 17:34:01 [点击:903]
你看這算不算棋子?:1997秋江澤民訪美,王軍濤先很積極地要求其它民運團體取消本來安排好的其它活動,大家都到DC去,而臨到頭一天突然取消所有活動,所有民運團體都措手不及,所以抗議活動全部泡湯。
事後王軍濤向劉曉竹承認,他受到中共的壓力,見了中共派來的人,故有此舉。問題是,王軍濤已經在海外,中共有什麼樣的把柄和槓桿、用了什麼樣的壓力,能使王軍濤就範,逼他做出破壞民運聯合行動的舉動?
總之,劉曉竹他們因為此事,理事會投票開除了王軍濤(那個中國戰略研究所還是王軍濤創立的),可見問題的嚴重性。
下面是網上流傳的兩個證據:



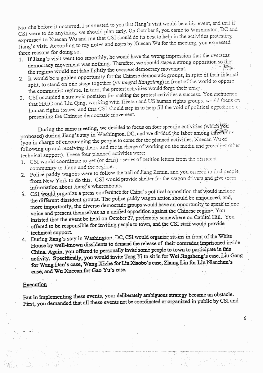
下面是劉曉竹報告的全文:



































































事後王軍濤向劉曉竹承認,他受到中共的壓力,見了中共派來的人,故有此舉。問題是,王軍濤已經在海外,中共有什麼樣的把柄和槓桿、用了什麼樣的壓力,能使王軍濤就範,逼他做出破壞民運聯合行動的舉動?
總之,劉曉竹他們因為此事,理事會投票開除了王軍濤(那個中國戰略研究所還是王軍濤創立的),可見問題的嚴重性。
下面是網上流傳的兩個證據:
一、劉曉竹的英文報告(裡面政治問題、帳目問題一大堆);
二、當時民陣、民聯兩大民運組織的主席給會員的情況通報:
下面是劉曉竹報告的全文:
最后编辑时间: 2014-09-14 21:31:03
全部跟贴
还有严家其 这个赵光绪的康有为。 新大陆人 [225 b] 2014-09-15 03:52:56
[点击: 353](1315721)乖乖,实在厉害 柳如是 [248 b] 2014-09-14 21:34:34
[点击: 402](1315704)這個活動我也有參興,當时聽說王軍濤受了美方的壓力 范似棟 [40 b] 2014-09-14 21:48:01
[点击: 380](1315706)你不看英文啊? 柳如是 [110 b] 2014-09-14 21:57:42
[点击: 379](1315710)是沒看英文,呆一會兒有空就看。謝柳先生提醒。 范似棟 [0 b] 2014-09-15 05:23:53
[点击: 289](1315735)粗看了幾眼,如劉所言不虛,王軍濤夠得上中共棋子了。 范似棟 [529 b] 2014-09-15 10:35:10
[点击: 227](1315750)- 原文链接:http://www.duping.net/XHC/show.php?bbs=11&post=1315670
没有评论:
发表评论